2024717
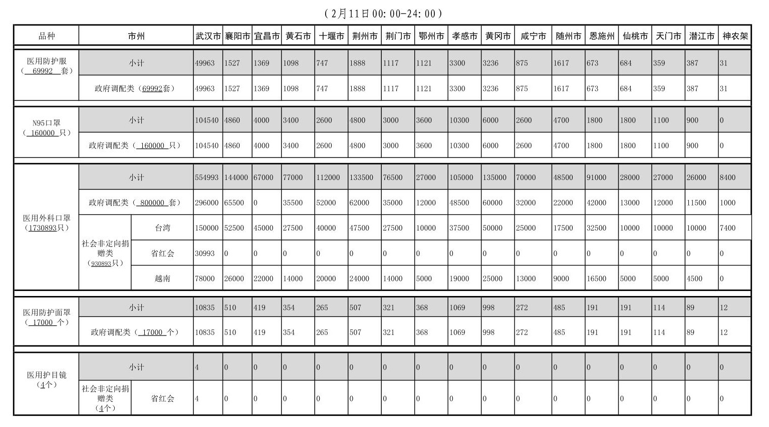
湖北省新冠肺炎疫情防控指挥部物资保障组医用防护物资分配情况公示
20
湖北省卫生健康委员会
宣传处
2020-02-12
24297
信息发布
长者专区
无障碍
政务新媒体
网站支持IPV6
繁体
|
登录
|
注册
首 页
政府信息公开
互动交流
办事服务
部门动态
数据开放
首页
政府信息公开
互动交流
办事服务
部门动态
数据开放
搜 索
热门搜索:
“323”攻坚行动
实践活动
健康湖北
疾病预防
当前位置:
首页
>
部门动态
>
专题专栏
>
防控新型冠状病毒感染肺炎疫情
>
信息发布
湖北省新冠肺炎疫情防控指挥部物资保障组医用防护物资分配情况公示
2020-02-12 09:45
|
湖北省卫生健康委员会
|
宣传处
扫一扫在手机上查看当前页面
附件:
扫一扫在手机上查看当前页面
已阅
打印
关闭
相关文档
关联链接
×
您访问的链接即将离开“
”是否继续?